水的比热容是多少(热水的计算参考数据)
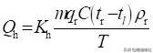
设计小时耗热量计算:全日供应热水的宿舍(I、II类)、住宅、别墅、酒店式公寓、招待所、培训中心、旅馆、宾馆的客房(不含员工)、医院住院部、养老院、幼儿园、托儿所(有住宿)、办公楼等建筑的集中热水供应系统的设计小时耗热...
这是关于 水的比热 标签的相关文章列表
设计小时耗热量计算:全日供应热水的宿舍(I、II类)、住宅、别墅、酒店式公寓、招待所、培训中心、旅馆、宾馆的客房(不含员工)、医院住院部、养老院、幼儿园、托儿所(有住宿)、办公楼等建筑的集中热水供应系统的设计小时耗热...