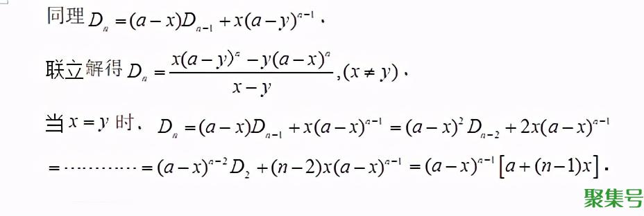
正文 行列式的计算方法(行列式的计算方法总结) kpjjhadmin V管理员 /2022-03-18 15:35:44 /214 阅读 0318 行列式产生于解线性方程组,行列式的计算是一个重要的问题.计算行列式的几种常用方法:利用行列式的定义直接计算、化为三角形法、降阶法、利用范德蒙德行列式法、利用拉普拉斯定理法降阶法、递推法等. 声明:本文内容及图片来源于读者投稿,本网站无法甄别是否为投稿用户创作以及文章的准确性,本站尊重并保护知识产权,根据《信息网络传播权保护条例》,如果我们转载的作品侵犯了您的权利,请在一个月内通知我们,我们会及时删除。请将本侵权页面网址发送邮件到laoyang1981@qq.com,我们会及时做删除处理。