很多同学在学习的时候,遇到方差,就会比较模糊,不是特别清楚方差到底是什么含义,模糊导致学习存在诸多困惑,因此,在这里杨大侠来通俗地解析下方差的定义。
一、方差的定义
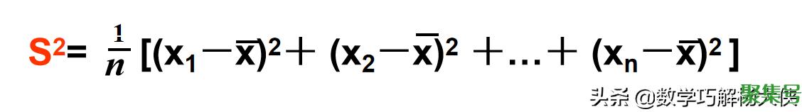
方差,直白地说是一个特殊的平均数,特殊在它是:各数据与它们的平均数的差的平方的平均数。可以结合下面公式来看:
二、方差作用
用了衡量一组数据的组数据时离散程度,离散程度(指的是偏离大小的意思),所以方差衡量一批数据的波动大小,方差越大,看上面公式,数据和平均值的距离平方就越大,导致偏离就大,说明数据的波动越大,越不稳定。反之,方差越小,说明数据的波动越小,越稳定。
三、例题展示及答案解析
四、计算方差步骤;
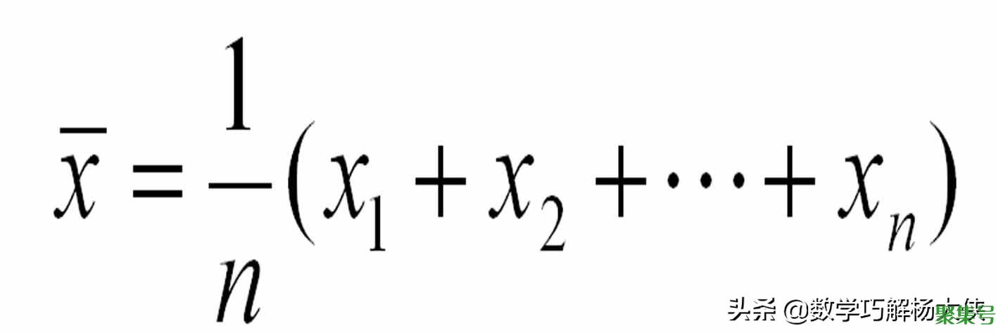
1、先求平均数,平均数用下面的公式求
2、求分子,先求差值,后平方,相加求和
3、计算总体平均值,代入方差公式
以上内容是杨大侠给同学们精心编写和设计,希望对同学们理解方差有帮助,大家加深理解,提高成绩,加油。





