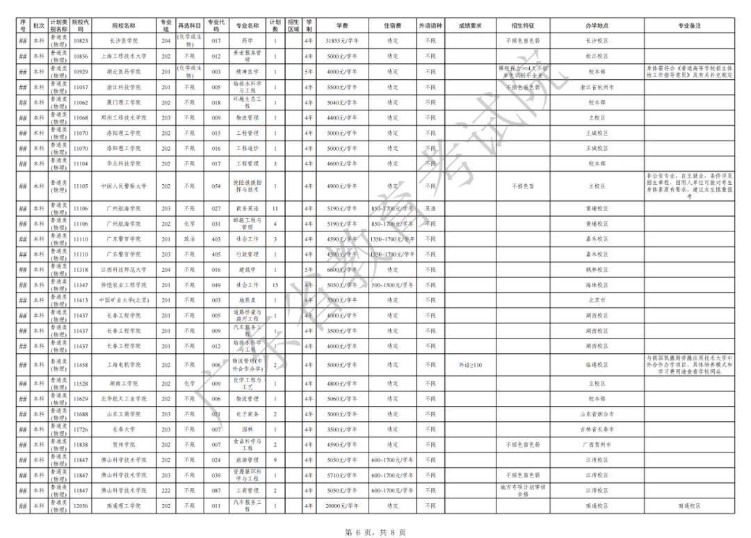
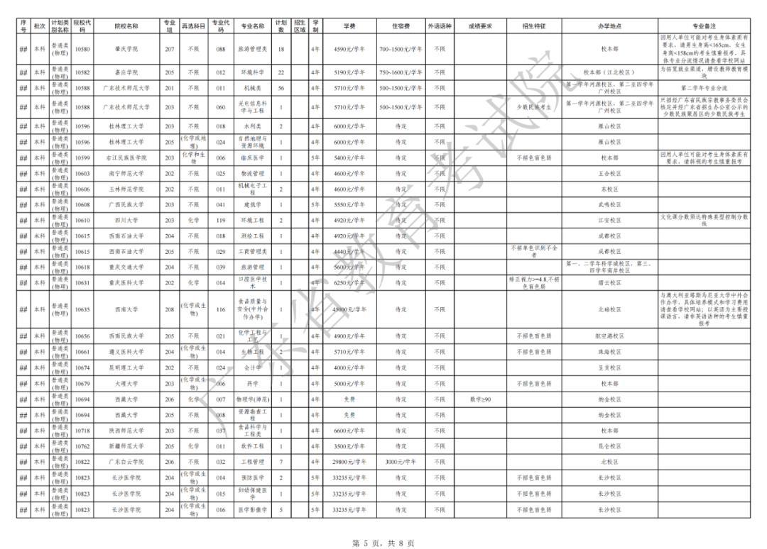
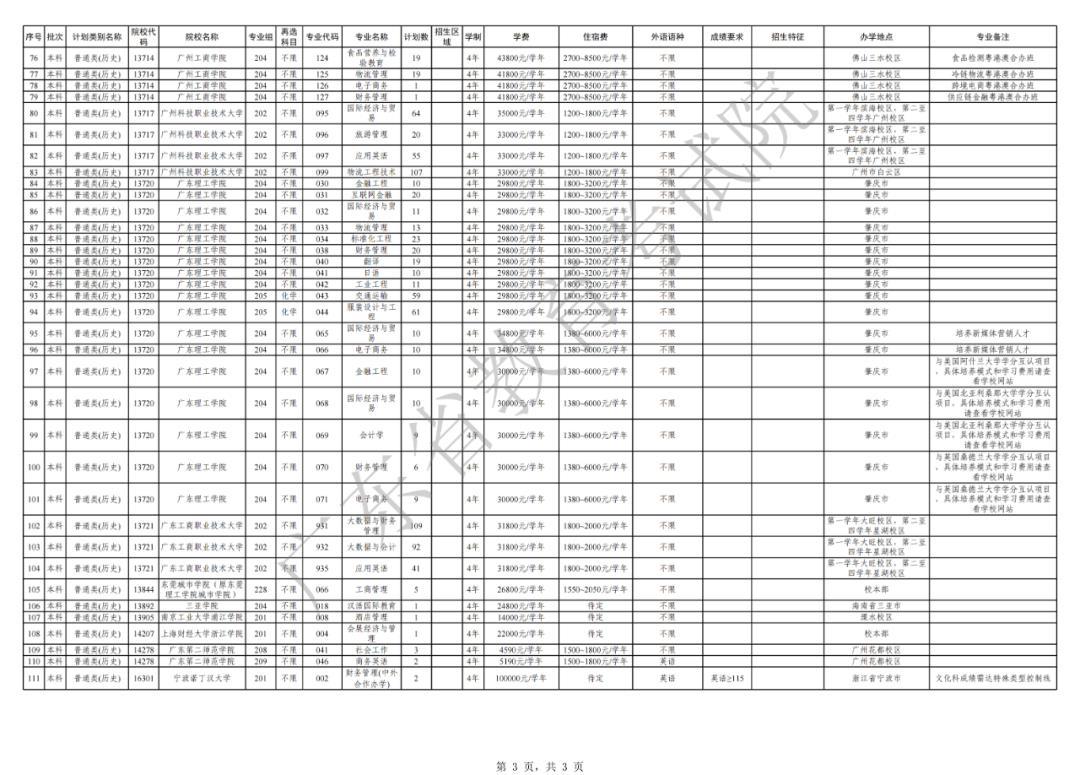
正文 补录院校(补录院校名单在哪查) kpjjhadmin V管理员 /2022-01-07 11:27:13 /154 阅读 0107 广东省教育考试院公布了2021广东高考本科补录院校及投档线,包括!想了解2021高考录取分数线的同学及家长可以参看一下!历史物理体育类音乐类美术类舞蹈类广编类来源:广东省教育考试院,由公众号《向学霸进军》整理编辑 声明:本文内容及图片来源于读者投稿,本网站无法甄别是否为投稿用户创作以及文章的准确性,本站尊重并保护知识产权,根据《信息网络传播权保护条例》,如果我们转载的作品侵犯了您的权利,请在一个月内通知我们,我们会及时删除。请将本侵权页面网址发送邮件到laoyang1981@qq.com,我们会及时做删除处理。