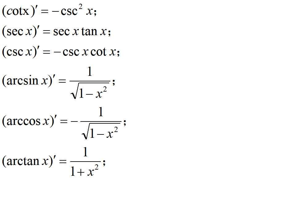
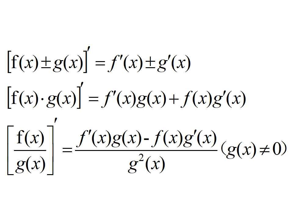
正文 secx等于什么1+tanx(secx等于什么求导) kpjjhadmin V管理员 /2022-01-04 20:49:39 /173 阅读 0104 secx等于什么1+tanx(secx等于什么求导)四则运算求导法则 声明:本文内容及图片来源于读者投稿,本网站无法甄别是否为投稿用户创作以及文章的准确性,本站尊重并保护知识产权,根据《信息网络传播权保护条例》,如果我们转载的作品侵犯了您的权利,请在一个月内通知我们,我们会及时删除。请将本侵权页面网址发送邮件到laoyang1981@qq.com,我们会及时做删除处理。