方差是在概率论和统计方差衡量随机变量或一组数据时离散程度的度量,用来度量随机变量和其数学期望(即均值)之间的偏离程度。Excel 2016中有两个计算方差的函数,分别是VAR.P函数和VAR.S函数。
VAR.P函数计算基于整个样本总体的方差,基本语法如下。
number1为必需参数,对应于总体的第一个数值参数。
number2, …为可选参数,对应于总体的2~254个数值参数。
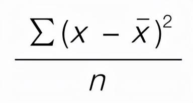
VAR.P的计算公式如下。
VAR.S函数估算基于样本的方差,基本语法如下。
number1为必需参数,对应于样本的第一个数值参数。
number2, …为可选参数,对应于样本的2~254个数值参数。
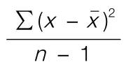
VAR.S的计算公式如下。
公式中的 为样本平均值, n 为样本大小。
示例15-43 产品包装质量比较
有甲、乙、丙3个车间包装产品,要求每个产品重量为100g/袋。现在对3个车间随机各抽取10袋产品进行称重,称重数据如图15-49所示。
在G2单元格中输入以下公式,并向右复制到I2单元格,计 算各车间包装产品的平均重量。
=AVERAGE(B2:B11)
在G3单元格中输入以下公式,并向右复制到I3单元格,计算各车间包装产品的偏离程度。
=VAR.P(B2:B11)
通过对比可以看出,甲、乙车间平均质量均为100g,丙车间超出100g,所以丙车间包装质量较差。
甲车间方差为10.6,乙车间方差为68.2,二者相比,甲车间的方差较小,说明包装质量更加稳定。
使用STDEV.P函数和STDEV.S函数计算标准差
标准差在概率统计中常做统计分布程度上的测量,反映组内个体之间的离散程度,平均数相同的两组数据,标准差未必相同。Excel 2016中有两个计算标准差的函数,分别是STDEV.P函数和STDEV.S函数。标准差是方差的算术平方根,二者关系如下。
STDEV.P函数计算基于以参数形式给出的整个样本总体的标准偏差,基本语法如下。
number1为必需参数,对应于总体的第一个数值参数。
number2, …为可选参数,对应于总体的2~254个数值参数。
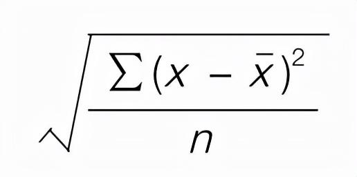
STDEV.P的计算公式如下。
STDEV.S函数基于样本估算标准偏差,基本语法如下。
number1为必需参数,对应于样本的第一个数值参数。
number2, …为可选参数,对应于样本的2~254个数值参数。
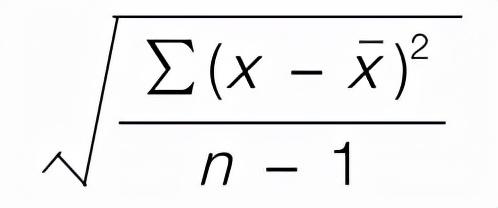
STDEV.S的计算公式如下。
公式中的 为样本平均值, n 为样本大小。
示例15-44 某班学生身高分布
在图15-50中,A~B列是某班学生身高记录表的部分内容,在E1单元格中输入以下公式计算得到学生的平均身高,结果为177.33(cm)。
=AVERAGE(B2:B41)
在E2单元格中输入以下公式,计算学生身高的标准差,返回结果为7.30。
=STDEV.P(B2:B41)
由此可以说明,此班学生的身高主要分布在177.33 ±7.30cm之间。











